さまざまな分子の合成とその特性評価結果。

CAS の関連記事:1807627-86-6|3,5-ジ(ナフタレン-1-イル)-1,1'-ビフェニル
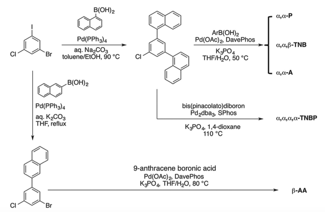
分子ガラス形成剤の構造類似体の合成とハイスループット特性評価: 1,3,5- トリスアリールベンゼン
Tianyi Liu、A Kevin Cheng、Elmira Salami-Ranjbaran、Feng Gao、Ethan C. Glor、Mu Li、Ab Patrick J. Walsh*a、Zahra
物理蒸着法で製造された高弾性有機ガラス
ケネス・L・カーンズ、ティム・スティル、ジョージ・フィタス、MDエディガー
人気ラベル: cas:1807627-86-6|3,5-ジ(ナフタレン-1-イル)-1,1'-ビフェニル、中国 cas:1807627-86-6|3,5-ジ(ナフタレン-1-イル)-1,1'-ビフェニルのメーカー、工場











